Limit Of Sin2x/X As X Approaches 0
Limit Of Sin2X/X As X Approaches 0. Also, if you use the l',hopital rule instead of squeeze theorem for sin(2x)/x you get it is equal to limit of 2sin(2x)/1. Limit as x approaches 0 of sin (nx)/x = n.

In the previous section we saw limits that were infinity and it',s now time to take a look at limits at infinity. Also, if you use the l',hopital rule instead of squeeze theorem for sin(2x)/x you get it is equal to limit of 2sin(2x)/1. Lim x → 0 | x | = lim x → 0 | x | = { lim x → 0 + x, x ≥ 0 lim x → 0 − − x, x <, 0 = { 0, x ≥ 0 0, x.
Also, If You Use The L',hopital Rule Instead Of Squeeze Theorem For Sin(2X)/X You Get It Is Equal To Limit Of 2Sin(2X)/1.
Area of the sector with dots is π x 2 π = x 2. The limit of 1 x as x approaches infinity is 0 and write it like this: Apply the limit x 2 to the above function.
The Problem Now Becomes The Limit As X Approaches Zero Of (2Sin(X)Cos(X))/X.
To solve the following question, recall the squeeze theorem: Multiply the numerator and denominator by 2x. The idea of a limit is what distinguishes calculus from algebra.
(All Limits As X=>, 0.
X is a variable and represents angle of a right triangle. The sine function is written as sin x as per trigonometry. We show the limit of sin(2x)/x as x goes to 0 is equal to 2.
0?Sin2Xx2?1×2.Beginning With The Fact That The Limit As X Approaches Zero Of.
Find the limit of (sin(2x)/(sin(3x) as x approaches 0. You can put this solution on your website! If we directly evaluate the limit \lim_{x\to.
Learn How To Solve Limits Problems Step By Step Online.
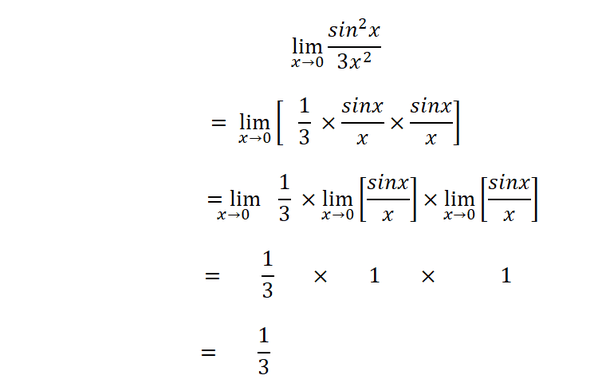
Split the limit using the product of limits rule on the limit as x approaches. This indeterminate form is also known by the. The limit of quotient of sin x by x as x approaches zero is often appeared in.
Post a Comment for "Limit Of Sin2x/X As X Approaches 0"